
持続可能な社会のための非金属軽元素を用いた
Research theme
Publication
Synergized effects of amino acids and NaCl to enhance silicate minerals dissolution in aqueous environments for efficient atmospheric CO2 removal
Jiajie Wang, Sena Kikuchi, Noriyoshi Tsuchiya, Yoshinori Sato, Mei-Fang Chien, Noriaki Watanabe
Environmental Science & Technology, 2024, 58, 22114 – 22123
DOI: 10.1021/acs.est.4c07526
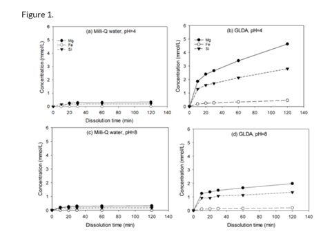
Characteristics of congruent dissolution of silicate minerals enhanced by chelating ligand under ambient conditions
Jiajie Wang, Astin Nurdiana, Yoshinori Sato, Noriaki Watanabe, Noriyoshi Tsuchiya
American Mineralogist, 2024, 109, 1096 – 1105
DOI: 10.2138/am-2023-9025
Are Non-Six-Membered Ring Defects Formed in Single-Walled Carbon Nanotubes Treated by a Fluorination–Defluorination Process?
Yoji Omoto, Hiromu Morita, Yoshinori Sato, Tetsuo Nishida, Kenichi Motomiya, Hirokazu Katsui, Takashi Goto, Yoshinori Sato
Nanomaterials 2023, 13(6), 1086
DOI: 10.3390/nano13061086






